Il giocatore tedesco ha chiesto due ritiri tre settimane fa. Non sono stati ancora ricevuti. Il casinò non ha fornito prove valide.
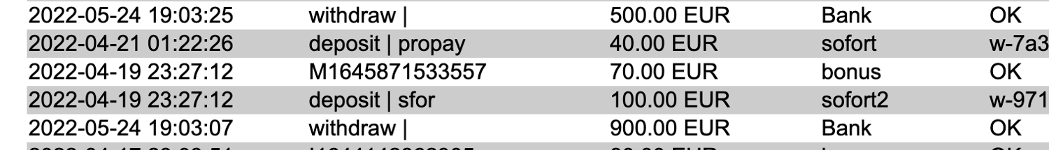
Salve, ho il problema di avere 2 pagamenti (900€ e 500€) su Wildpharao e ho ancora 600€ sul conto che non posso pagare perché i due pagamenti sono ancora aperti. Ho richiesto i prelievi il 18-04-2022 18:14:01 e 21-04-2022 01:56:11. Ho già contattato la chat e mi hanno indirizzato a un indirizzo email. Purtroppo non ricevo risposta alla mia email. Sono stato verificato nel casinò e ho già pagato più volte.
Caro Marco1409,
Grazie mille per aver inviato il tuo reclamo. Mi dispiace per i tuoi prelievi ritardati. Ho capito correttamente che i tuoi pagamenti sono ancora in sospeso nell'account senza essere elaborati? È un problema interno del sistema del casinò o è correlato solo al tuo account? Le tue vincite sono state accumulate con o senza un bonus attivo?
È abbastanza normale che i prelievi richiedano un paio di giorni o addirittura settimane per essere completamente elaborati. Ciò significa che potrebbe volerci del tempo prima che il tuo denaro venga visualizzato nel tuo account. Supponendo che tu abbia completato con successo la verifica KYC e che i tuoi prelievi siano stati approvati, credo davvero che sia solo questione di tempo prima che tu li riceva.
Attendiamo un vostro riscontro. Grazie in anticipo.
Distinti saluti,
Petronella
PS: potresti confermare di aver ricevuto vincite dal tuo precedente reclamo ?
Ciao Petronella,
Ho due pagamenti che non vengono elaborati dal casinò ma sono già stati richiesti da me e ho ancora un pagamento nel mio portafoglio perché non posso richiedere ulteriori pagamenti a causa dei pagamenti aperti.
1 e 2 sono richiesti ma non elaborati dal casinò.
3 è nel portafoglio e non può essere pagato perché gli altri due pagamenti sono stati richiesti.
La verifica KYC è completa.
Cordiali saluti
Marco S**********
I soldi del mio precedente reclamo mi sono stati pagati dopo che ho aperto un reclamo qui.
Grazie mille, Marco1409, per aver fornito tutte le informazioni necessarie. Ora trasferirò il tuo reclamo al mio collega Viliam ( [email protected] ) che sarà a tua disposizione. Ti auguro buona fortuna e spero di vedere il tuo problema risolto con tua soddisfazione nel prossimo futuro.
Ciao Marco1409,
Ho esaminato il tuo reclamo e farò del mio meglio per aiutarti. Vorrei invitare Wild Pharao Casino in questa conversazione. Casinò, puoi specificare qual è il problema con il prelievo del giocatore?
Vorremmo chiedere a Wild Pharao Casino di rispondere a questo reclamo. Stiamo estendendo il timer di 7 giorni. Se il casinò non risponde entro il termine stabilito, chiuderemo il reclamo come "irrisolto".
Caro Marco1409,
Per quanto posso vedere, il ritiro è stato elaborato. Hai già ricevuto i soldi?

Distinti saluti,
Team di supporto di WildPharao
Ciao Faraone selvaggio,
purtroppo il denaro non è stato ancora ricevuto.
Non ho ancora ricevuto l'e-mail di conferma del pagamento.
Cordiali saluti
Marco
Caro Marco1409,
Grazie per averci segnalato il tuo problema. Siamo molto dispiaciuti per il ritardo di questo prelievo.
Inaugurerò questo problema e tornerò da te al più presto.
Distinti saluti,
Team di supporto di WildPharao
Sfortunatamente, nessun denaro è arrivato sul mio conto fino ad oggi. Nella chat sono solo rimandato perché dovrei aspettare. Nel mio conto ho potuto vedere che i soldi sono spariti e un bonifico bancario richiederebbe un giorno o due. La chat non può accelerare il pagamento poiché non hai alcun controllo sulla banca.
Vorremmo chiedere a Wild Pharao Casino di rispondere a questo reclamo. Stiamo estendendo il timer di 7 giorni. Se il casinò non risponde entro il termine stabilito, chiuderemo il reclamo come "irrisolto".
Sfortunatamente, Wild Pharaoh non ha ancora risposto. Nella chat ricevo solo il feedback che i miei soldi sono stati pagati e che dovrei inviare un'e-mail. Ho inviato un certo numero di e-mail con una conferma di lettura e non ricevo nemmeno una conferma di lettura, per non parlare di una risposta.
Mi scuso, ma poiché non abbiamo ricevuto alcuna spiegazione e prova valida dal casinò in merito al problema, non possiamo continuare a risolvere questo reclamo e siamo costretti a chiuderlo come "irrisolto". Puoi contattare la licenza di gioco di Curacao. Se hai bisogno del mio aiuto per contattarli, inviami un'e-mail qui: [email protected]
Sono molto dispiaciuto di non poterti aiutare di più, ma almeno chiudere questo reclamo in quanto irrisolto influenzerà negativamente la valutazione del Casinò e gli altri giocatori possono leggere la tua esperienza nella nostra recensione.
Spero che non ti imbatterai più in un problema del genere.
Il Casinò può chiedere di riaprire questo reclamo in qualsiasi momento.
Reindirizzamento al sito web del casinò in corso. Resta in attesa. Se usi un programma ad block, verifica le impostazioni.